色情小说网_色情小说网最新官方入口地址
主页
色情小说网概况
色情小说网简介
现任领导
历史沿革
历任领导
形象宣传
院徽院训
机构设置
院党政办公室
院团委
院工会
院学位评定分委员会
院学术委员会
院本科教指委
系科设置
师资队伍
师资力量
双聘院士
知名专家
博士生导师
硕士生导师
兼职教授
学科建设
学科动态
学科方向
重点学科
学位点
博士后科研流动站
科学研究
科研平台
科研团队
科研项目
科研成果
学术学会
社会服务
教育教学
本科生教育
研究生教育
教学平台
专业设置
教学团队
教学工程
教学成果
党建工作
党建动态
支部设置
先锋模范
薪火强音
学生工作
学工动态
学生机构
学生社团
招生就业
招生信息
就业信息
下载中心
本科生
研究生
教职工
信息中心
> 色情小说网动态
> 色情小说网公告
当前位置:
主页
>
信息中心
>
色情小说网公告
>
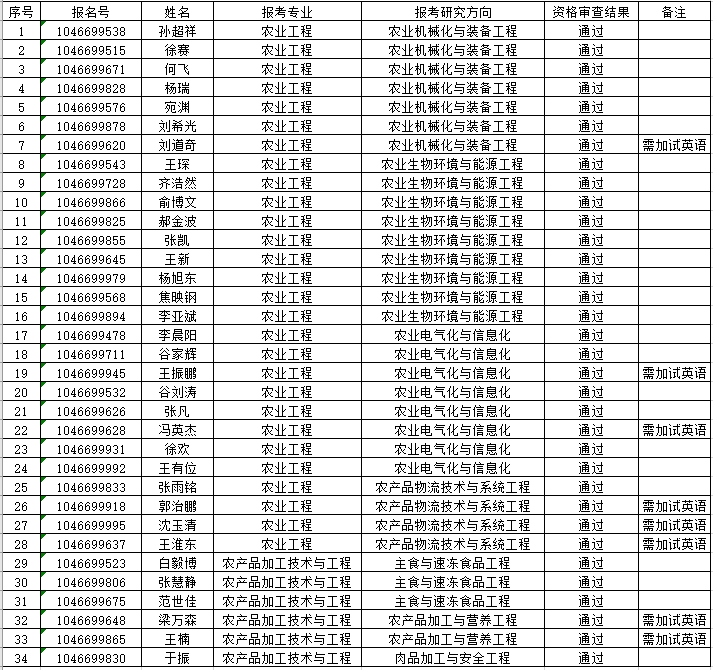
色情小说网 2025年博士研究生“申请考核制”资格审查通过名单公示
发布时间:2025-05-01 16:48 浏览次数:
根据《色情小说网 博士研究生招生“申请考核制”管理办法(校政研〔2018〕6号)》、《色情小说网 2025年博士研究生招生简章》、《色情小说网 色情小说网 2025年博士研究生招生“申请考核制”实施细则》等文件精神和要求,经考生个人网上报名,学院审核小组按照申请条件对考生材料进行了严格的资格审查,现将通过资格审查的考生名单公示如下:
公示时间:2025年5月1日—2025年5月7日
联系电话:0371-63558046
联系地址:郑州市金水区农业路63号色情小说网 色情小说网 205室
色情小说网 色情小说网
2025年5月1日
快速链接
色情小说网
河南省农业工程学会
国家级农业工程训练中心
实验室安全考试系统
河南农业工程虚拟仿真中心