色情小说网_色情小说网最新官方入口地址
主页
色情小说网概况
色情小说网简介
现任领导
历史沿革
历任领导
形象宣传
院徽院训
机构设置
院党政办公室
院团委
院工会
院学位评定分委员会
院学术委员会
院本科教指委
系科设置
师资队伍
师资力量
双聘院士
知名专家
博士生导师
硕士生导师
兼职教授
学科建设
学科动态
学科方向
重点学科
学位点
博士后科研流动站
科学研究
科研平台
科研团队
科研项目
科研成果
学术学会
社会服务
教育教学
本科生教育
研究生教育
教学平台
专业设置
教学团队
教学工程
教学成果
党建工作
党建动态
支部设置
先锋模范
薪火强音
学生工作
学工动态
学生机构
学生社团
招生就业
招生信息
就业信息
下载中心
本科生
研究生
教职工
学生工作
> 学工动态
> 学生机构
> 学生社团
当前位置:
主页
>
学生工作
>
学工动态
>
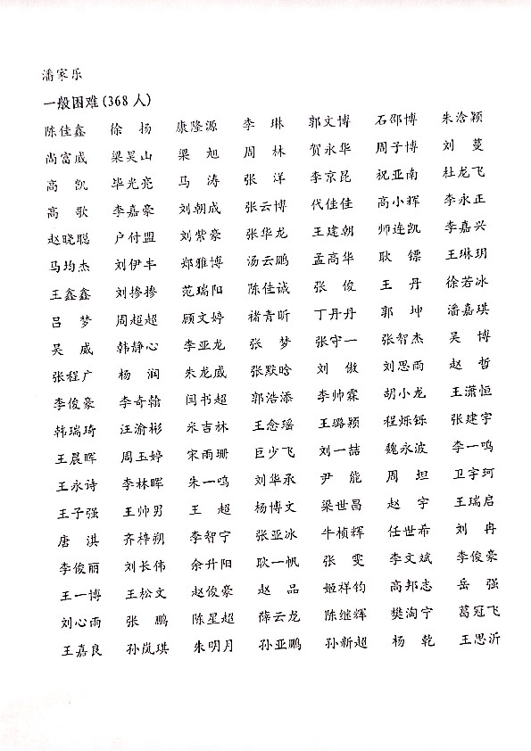
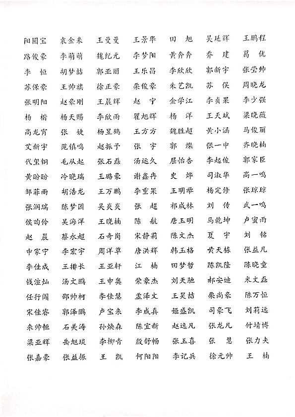
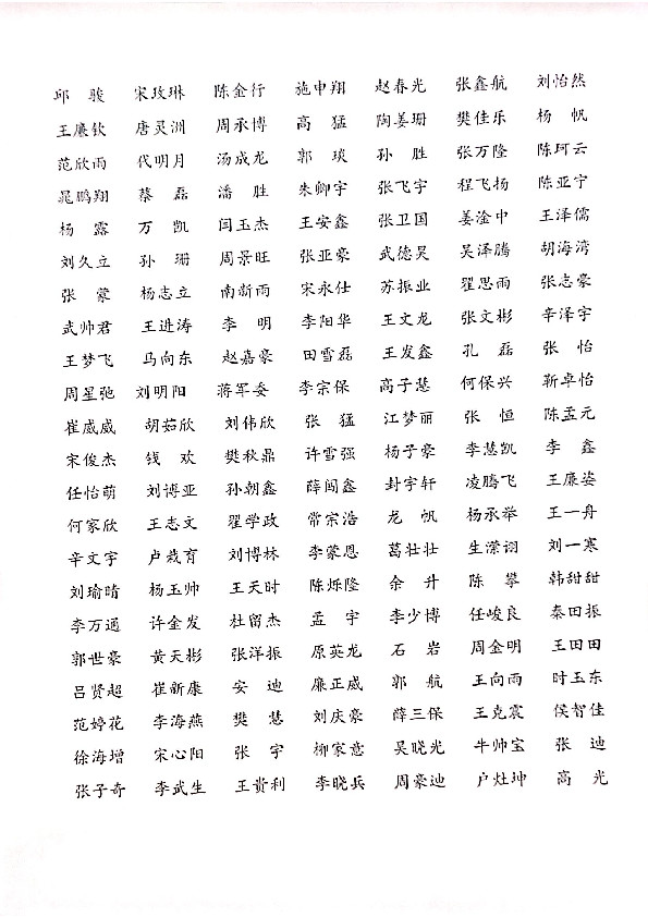
色情小说网 2022年家庭经济困难学生认定名单公示
发布时间:2022-09-09 16:00 浏览次数:
根据《教育部等六部门关于做好家庭经济困难学生认定工作的指导意见》《河南省家庭经济困难学生认定工作实施办法》和《色情小说网 家庭经济困难学生认定办法(修订)》精神,学院认真开展贫困认定工作,结合各学生班推荐报备情况,经学院学生工作领导小组和资助工作领导小组研究生审核,最终确定2022-2023 学年家庭经济困难学生认定名单,现公示如下:
快速链接
色情小说网
河南省农业工程学会
国家级农业工程训练中心
实验室安全考试系统
河南农业工程虚拟仿真中心